Nikon Lens Compatibility Chart

59 rows Nikon Camera and Lens Compatibility Chart.

Nikon lens compatibility chart. The Nikon Ai lenses were superseded by the Nikon Ai-S which allowed for greater aperture control from within the camera rather than on the lens. Can be stored with filter screw-on hood HN or slip-on hood HK normal position. Except 45mm F28 EX DC CIRCULAR FISHEYE 5.

Nikon lenses are so compatible that they even work on Canon cameras with an adapter. The Nikon TC-300 and TC-301 are good. Nikon gives us about 15-20 years each way for 100 compatibility and after that starts to require us to do some metalwork.

The Camera to Lens. If you are still undecided get in touch via Livechat and we can guide you towards the right product. Can be stored with cap.

Rest assured 12 out of the 13 lenses recommended in this guide are AF-S AF-P or E-Type. To mount the converter could damage both it and the lens. D7500 D7200 D7100 D7000.

320 rows Lens compatibility chart for Nikon D70. It also shows you the Focal Length that you will experience since this camera. Because the focus mode and VR are set using the camera menus not every Nikon DSLR is compatible with AF-P lenses and those that are may need to have their firmware updated so theyll show the correct menu items.

DX lenses as as compatible as every other G lens. The light on camera screen will disappear automatically about 1 minute after the total time of OS Optical Stabilizer connection and camera. You can learn more about TTL through-the-lens metering here.

Compatible lenses for Nikon D7500. Vignetting will occur if the lens is used with image sensor larger than APS-C size or 35mm full-frame size camera. Please vary the focal length of the lens.

This chart does not apply to any brands other than Nikon. Use the compatibility chart below to find your answer. Nikon 1 FT-1 Adapter and F-Mount NIKKOR Lens Compatibility Chart The Nikon 1 advanced cameras with interchangeable lenses V1 V2 V3 J1 J2 J3 J4 J5 S1 and S2 can use the following as of August 2015 F-Mount NIKKOR lenses with the FT-1 Adapter.

Lens compatibility chart for Nikon D7500. Camera compatibility chart for Nikon AF-S 500mm f4 D IF-ED II. Below you will find all registered lenses.

Below you will find all registered cameras here on Lensora. Camera case compatibility chart Can be stored with filter cap snap-on hood HS bayonet hood HB reverse position or rubber screw-on hood HR folded. Meaning theyre all fully compatible with the Nikon D3400.

Older lenses have switches on the lens barrel for turning VR on and off as well as switching between manual focus mode and AF mode. I want to make this the best possible resource for anyone with questions about Nikon FTZ adapter lens compatibility. On the page below you will find all lenses registered on Lensora that are compatible with Nikon D7500.

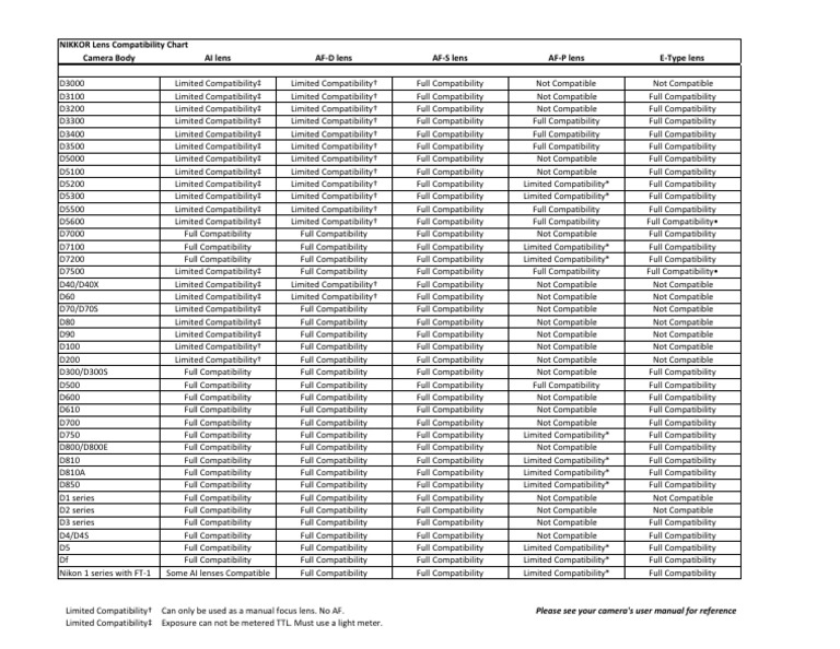
18 rows NIKKOR Lens Compatibility Chart Camera Body AI lens AF-D lens AF-S lens AF-P lens E-Type. Nikon D3400 Lens Compatibility Chart. This is the same chart as the Nikon AI AI-S AI Converted and Series E Lenses shown earlier in the article since those are non-CPU lenses as well.

An easy way to identify a Nikon Ai-S lens is their. This Applies to Nikon Brand Lenses Only. Can be stored with filter and cap.

Wether the actual camera works with Nikon AF-S 500mm f4 D IF-ED II or not is displayed with a green or a red symbol and if you want to know more about why this lens and the camera work or do not work together you click Read more. Nikon often includes secret features in cameras and in lenses to make them compatible with the next five years or so of secretly planned technology. For instance Nikons brand-new manual focus lenses still made today have coupling prongs that havent been needed on cameras made since 1977.

Next to each lens you can click for more information and you are presented with why they are compatible or not. Got something wrong please let me know. Most of these lenses give only centre weighted or spot metering but there are some limitations see this compatibility chart for Nikon lens to body compatibility.

Heres a rundown of the types of lenses compatible with Nikon D3400. All DX lenses are G and are either traditional AF screw or AF-S. Subscribe to Our Newsletter If you liked this.